Machine Learning Bayesian

PC 算法

贝叶斯网络与其结构学习算法

Renovamen
2021-04-26
17 min

把大三的时候在实验室摸鱼看贝叶斯网络和 PC 算法时写的笔记整理到这里来,免得哪天我换电脑时把笔记搞没了。

这里是当时写的 PC 算法的 Python 实现: Renovamen/pcalg-py

# 概率图模型

对于一个 KK 维随机向量 X=[X1,X2,,XK]X = [X_1, X_2, \dots, X_K]^{\top},一般难以直接建模。因为如果每个变量为离散变量并有 MM 个可能取值,在不作任何独立性假设的前提下,需要 MK1M^K -1 个参数才能表示其概率分布,参数数量会非常庞大。

一种减少参数数量的方法是独立性假设。把 XX 的联合概率分解为 KK 个条件概率的乘积:

p(X=x)=k=1Kp(xkx1,,xk1)p(X = x) = \prod_{k=1}^K p(x_k | x_1, \dots, x_{k-1})

xx 为随机向量 XX 的取值。可以看到,如果某些变量之间存在条件独立,参数数量就可以大幅减少。

因此,概率图模型(Probabilistic Graphical Model,PGM)用图结构来描述多元随机变量之间的条件独立关系,从而为研究高维空间中的概率模型带来了很大的便捷。

概率图模型中,每个节点表示一个(或一组)随机变量,边表示这些随机变量之间的概率依赖关系。常见的概率图模型可以分为有向图模型和无向图模型。

  • 有向图模型(Directed Graphical Model),也称为贝叶斯网络(Bayesian Network)或信念网络(Belief Network),使用有向无环图(Directed Acyclic Graph,DAG)来描述变量之间的关系。如果两个节点之间有连边,表示这两个变量之间有因果关系,即不存在其他变量使得这两个变量条件独立。

  • 无向图模型,也称为马尔可夫随机场(Markov Random Field,MRF),使用无向图来描述变量之间的关系。两个节点之间有连边代表这两个变量之间有概率依赖关系,但不一定是因果关系。

pcg

图片来源:《神经网络与深度学习》,邱锡鹏

本文只讨论有向图模型,即贝叶斯网络。

# 贝叶斯网络

# 定义

有向无环图 GG 中,每个节点对应 KK 维随机向量 XX 中的一个变量,有向边 eije_{ij} 表示随机变量 XiX_iXjX_j 之间具有因果关系,父节点 XiX_i 是『因』,子节点 XjX_j 是『果』,显然这两个点之间一定非条件独立。

XπkX_{\pi_k} 为变量 XkX_k 的所有父节点变量集合,P(XkXπk)P(X_k \mid X_{\pi_k}) 表示每个随机变量的局部条件概率分布(Local Conditional Probability Distribution)

如果 XX 的联合概率分布可以分解为每个随机变量 XkX_k 的局部条件概率的连乘形式,即:

p(x)=k=1Kp(xkxπk)p(x) = \prod_{k=1}^K p(x_k \mid x_{\pi_k})

那么称 (G,X)(G,X) 构成了一个贝叶斯网络。

# 局部马尔可夫性质

每个随机变量在给定父节点的情况下,条件独立于它的非后代节点:

Xk ⁣ ⁣ ⁣ZXπk\newcommand{\indep}{\perp \!\!\! \perp} X_k \indep Z \mid X_{\pi_k}

其中 ZZXkX_k 的非后代节点。

# 基本问题

  • 学习问题

    • 结构学习:那么怎样才可以获得这个神奇的有向无环图呢,这就是结构学习问题。即学习出最优网络结构,也就是各节点之间的依赖关系。主流的结构学习方法主要可以分为:

      • 基于评分搜索的方法:利用搜索算法和评分函数,对每一个搜索到的网络结构进行评分,最终搜索出评分最高的网络结构。搜索算法的复杂度和精确度直接决定了学习算法的搜索效率,评分函数的优劣也直接决定了算法的计算复杂度和精确度。所以选择合理的优化搜索算法和评分函数是该类方法的核心问题。

        该类方法容易陷入局部最优解而无法达到全局最优,并且结构空间的⼤⼩随节点的增加呈指数增加(空间复杂度)。

      • 基于依赖统计分析的方法:分析变量间的依赖关系,在依赖性较大的两节点之间添加连接边,得到无向图。然后根据包含关系等方式确定无向图中边的方向,得到最终的有向无环图。本文要讨论的 PC 算法就是这类方法中(比较古老)的一种。

        该类方法能获得全局最优解,但随着节点的增加,算法的时间复杂度会增加得很快;并且它不能区分同属于一个马尔可夫等价类的图,这一点后面会讲到。

    • 参数学习:在给定网络结构时,确定网络参数,即参数估计问题:

      • 不含隐变量:如果图模型中不含隐变量(latent variable),即所有变量都是可观测的,那么网络参数一般可以直接通过最大似然来进行估计。

      • 含隐变量:有些时候 XX 中的变量有很复杂的依赖关系,这时通常会引入隐变量 zz 来简化模型。如果图模型中包含隐变量,即有部分变量是不可观测的,这时就需要用 EM 算法(Expectation Maximum,期望最大化算法)来进行参数估计。

        如果 EM 算法中的后验是 intractable 的,那么又需要用变分推断(Variational Inference)来寻找一个简单分布来近似后验。

        而在深度学习大行其道的今天,你可能会想到用神经网络去拟合这个后验不就完事儿了,是的这就是变分自编码器(Variational Auto-Encoder,VAE)的思想,去学它吧朋友。

      本文不讨论参数学习问题,但我在我的笔记本上写了一些参数学习相关的东西,有兴趣的话可以看一看。

  • 推断问题:在已知部分变量时,计算其他变量的条件概率分布

# PC 算法

好的现在讲主题了,用 PC 算法[1]来学习出贝叶斯网络的结构。如上文所述,PC 算法会先确定节点间的依赖关系(但不确定方向),即先生成一个无向图,然后再确定依赖方向,把无向图扩展为完全部分有向无环图(Completed Partially Directed Acyclic Graph,CPDAG)。

# 依赖关系确立

VV 是输入点集,有以下步骤:

  • VV 上生成完全无向图 GG
  • 对于 GG 中的两个相邻点 i,ji, j,如果 iijj 能在给定节点 kk 时条件独立,则删除 iijj 之间的边

这样会得到一个无向图,图中的无向边表示它连接的两个节点之间有依赖(因果)关系,这样的无向图叫骨架(skeleton)。PC 算法把上述过程转化为了 dd 分隔(d-separation)[2]问题。

# d 分隔

d 分隔的定义

节点集合 OOdd 分隔节点 ii 与节点 jj,当且仅当:

给定 OO 时,iijj 之间不存在有效路径(active path),即 iijjOO 下条件独立(记作 ijOi \perp j \mid O)。

O(i,j)O(i, j) 表示能够 dd 分隔 iijj 的点集,用 adj(G,x)adj(G, x) 表示图 GG 中节点 xx 的相邻点集,那么 PC 算法检验条件独立性的具体流程为[3]

pc-skeleton

Estimating High-Dimensional Directed Acyclic Graphs with the PC-Algorithm. Markus Kalisch and Peter Buhlmann. JMLR 2007.

简单总结一下:

  • =1\ell = 1

  • repeat

    • for 每个相邻点对 (i,j)(i, j)

      • for adj(G,i)\{j}adj(G, i) \backslash \{j\}adj(G,i)\{i}adj(G, i) \backslash \{i\} 的所有可能的节点数为 \ell 的子集 KK

        • 测试 KK 能否 dd 分隔 (i,j)(i, j)

        • 如果能,说明 iijj 之间不存在有效的依赖关系,所以删除边 iji - j,并将这个点集加入 O(i,j)O(i, j)O(j,i)O(j, i)break

    • =+1\ell = \ell + 1

  • until 当前图中的所有的邻接点集都小于 \ell

# Fisher Z Test

为了判断 dd 分隔,我们需要对任意两个节点进行条件独立性检验,PC 算法采用了 Fisher Z Test[4] 作为条件独立性检验方法。实际上 Fisher Z Test 是一种相关性检验方法,但 PC 算法认为这一堆随机变量整体上服从多元高斯分布,这时变量条件独立与变量之间的偏相关系数为 0 等价(多元高斯分布的基本特性,证明过程可以参考 Steffen L. Lauritzen 的课件[5]第 4.2.1 节),所以可以用 Fisher Z Test 进行条件独立性检验。

偏相关系数指校正其它变量后某一变量与另一变量的相关关系,校正的意思可以理解为假定其它变量都取值为均数。任意两个变量 i,ji, jhh 阶(排除其他 hh 个变量的影响后,h<=k2h<=k-2)偏相关系数为:

ρi,jK=ρi,jK\hρi,hK\hρj,hK\h(1ρi,hK\h2)(1ρj,hK\h2)\rho_{i,j \mid K} = \frac{\rho_{i,j \mid K \backslash h} - \rho_{i,h \mid K \backslash h} \rho_{j,h \mid K \backslash h}}{\sqrt{(1 - \rho^2_{i,h \mid K \backslash h}) (1 - \rho^2_{j,h \mid K \backslash h})}}

为了判断 ρ\rho 是否为 0,需要将 ρ\rho 通过 Fisher Z 变换[6]转换成正态分布:

Z(i,jK)=12log(1+ρ^i,jK1ρ^i,jK)Z(i, j \mid K) = \frac{1}{2} \log (\frac{1 + \hat{\rho}_{i,j \mid K}}{1 - \hat{\rho}_{i,j \mid K}})

定义零假设和对立假设:

  • 零假设:H0(i,jK):ρi,jK0H_0(i,j \mid K): \rho_{i,j \mid K} \not= 0
  • 对立假设:H1(i,jK):ρi,jK=0H_1(i,j \mid K): \rho_{i,j \mid K} = 0

然后给定一个显著性水平 α(0,1)\alpha \in (0, 1),那么(双侧)检验的规则为,如果有:

nK3Z(i,jK)Φ1(1α/2)\sqrt{n - |K| - 3}| Z(i,j \mid K) \leq \Phi^{-1} (1 - \alpha/2)

其中 Φ()\Phi(\cdot)N(0,1)\mathcal{N}(0, 1) 的累积分布函数,则拒绝零假设,i,ki, k 关于 KK 条件独立。所以将上面伪代码的第 11 行替换为 if nK3Z(i,jK)Φ1(1α/2)\sqrt{n - |K| - 3}| Z(i,j \mid K) \leq \Phi^{-1} (1 - \alpha/2)

# 依赖关系方向确立

经过上一个阶段,我们得到了一个无向图。现在我们要利用 dd 分隔的原理来确定图中边的依赖方向,把骨架扩展为 DAG。

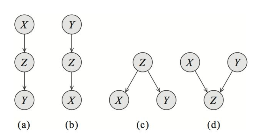
对于任意三个以有效依赖关系边相连的节点 XZYX-Z-Y,其依赖关系必为下图的四种关系之一:

link

dd 分隔的结论为:对于有向无环图 EE,有两个节点 X,YX, Y 和一个点集 OO,为了判断 XXYY 是否关于 OO 条件独立,考虑 EE 中所有 XXYY 之间的无向路径,对于其中一条路径,如果它满足以下两个条件中的任意一条,则称这条路径是阻塞的:

  • 路径中存在某个节点 ZZ 是 head-to-tial(图中情况 a, b)或 tail-to-tail 节点(图中情况 c),且 ZZ 包含在 OO
  • 路径中存在某个节点 ZZ 是 head-to-head 节点(图中情况 d),且 ZZ 没有被包含在 OO

如果 X,YX,Y 间所有的路径都是阻塞的,那么 X,YX,Y 关于 OO 条件独立;否则,X,YX,Y 不关于 OO 条件独立。

而我们已经记录了 dd 分隔 XXYY 的点集 OO,因此我们可以由 dd 分隔的结论反推出贝叶斯网络中边的方向,方向的判断方法可以转换成以下三条规则:

  • 规则 1:如果存在 XYZX \rightarrow Y - Z,把 YZY - Z 变为 YZY \rightarrow Z
  • 规则 2:如果存在 XZYX \rightarrow Z \rightarrow Y,把 XYX - Y 变为 XYX \rightarrow Y
  • 规则 3: 如果存在 XZ1YX - Z_1 \rightarrow YXZ2YX - Z_2 \rightarrow Y,且 Z1,Z2Z_1, Z_2 不相邻,把 XYX - Y 变为 XYX \rightarrow Y

实际上还可以推出一个规则 4:

  • 规则 4:如果存在 XZ1Z2X - Z_1 \rightarrow Z_2Z1Z2YZ_1 \rightarrow Z_2 \rightarrow Y,且 Z1,Z2Z_1, Z_2 不相邻,把 XYX - Y 变为 XYX \rightarrow Y

但很显然这种情况是矛盾的,不可能存在,所以不用考虑。

总结一下:

extend-to-cpdag

Estimating High-Dimensional Directed Acyclic Graphs with the PC-Algorithm. Markus Kalisch and Peter Buhlmann. JMLR 2007.

这样我们就可以得到一个完全部分有向无环图。

# 马尔科夫等价类

很明显,完全部分有向无环图(CPDAG)跟有向无环图看上去就不一样。首先来看什么是部分有向无环图(Partially Directed Acyclic Graph,PDAG):

部分有向无环图

假设 G=(V,E)G = (V, E) 是一个图,若边集 EE 中包含有向边和无向边,且不存在有向环,则称 GG 是一个部分有向无环图。

完全部分有向无环图指:

完全部分有向无环图

假设 G=(V,E)G = (V, E) 是一个部分有向无环图,若 EE 中的有向边都是不可逆的,并且 EE 中的无向边都是可逆的,则称 GG 是一个完全部分有向无环图。

关于可逆和不可逆:

可逆 / 不可逆

对于有向无环图 G=(V,E)G = (V, E) 中的任意有向边 ViVjEV_i \rightarrow V_j \in E,如果存在图 G=(V,E)G' = (V, E')GG 等价,且 VjViEV_j \rightarrow V_i \in E',则称有向边 ViVjV_i \rightarrow V_jGG 中是可逆的,否则是不可逆的。

同理,对任意无向边 ViVjEV_i - V_j \in E,若存在 G1=(V,E1)G_1 = (V, E_1)G2=(V,E2)G_2 = (V, E_2) 均与 GG 等价,且 ViVjE1V_i \rightarrow V_j \in E_1VjViE2V_j \rightarrow V_i \in E_2,则称无向边 ViVjV_i - V_jGG 中是可逆的,否则是不可逆的。

换句话说用 PC 算法得到的图是含有无向边的。这是因为依据 dd 分隔确定的条件独立性所构造的网络 结构不具有唯一性,它们只是真实的贝叶斯网络的马尔科夫等价类(Markov Equivalence Class):

马尔科夫等价类

有向无环图 G1=(V,E1)G_1 = (V, E_1)G2=(V,E2)G_2 = (V, E_2) 有相同的顶点集合和骨架,VV 为顶点集合,E1E_1E2E_2 为边的集合。

对于任意的不相交的顶点集合 A,B,CVA, B, C \in V,如果满足 A,BA, BG1G_1G2G_2 中都被 CCdd 分隔(也叫有相同的 VV 结构),则称图 G1G_1G2G_2 是马尔科夫等价的。

举个栗子:

markov-equivalence-class

马尔科夫等价类

上图 G1G_1G2G_2 是马尔科夫等价类,它们左上角的那条有向边方向并不相同,这时 PC 算法就无法判断这条边的方向了,只能输出无向边,即 G3G_3

所以,严格来说,PC 算法以及大多数基于依赖统计分析的贝叶斯网络结构学习算法,得到的都只是一个 CPDAG(依然有无向边),而不是真正意义上的贝叶斯网络(有向无环图)。

# 参考


  1. An Algorithm for Fast Recovery of Sparse Causal Graphs. Peter Spirtes and Clark Glymour. Social Science Computer Review 1991. ↩︎

  2. d-Separation: From Theorems to Algorithms. Dan Geiger, et al. UAI 1989. ↩︎

  3. Estimating High-Dimensional Directed Acyclic Graphs with the PC-Algorithm. Markus Kalisch and Peter Buhlmann. JMLR 2007. ↩︎

  4. Frequency Distribution of the Values of the Correlation Coefficient in Samples from an Indefinitely Large Population. R. A. Fisher. Biometrika 1915. ↩︎

  5. Elements of Graphical Models. Steffen L. Lauritzen. 2011. ↩︎

  6. Wikipedia: Fisher transformation ↩︎

上次编辑于: 2021/5/14 08:39:23